連續模式PFC功率MOSFET電流有效值、平均值計算-KIA MOS管
信息來源:本站 日期:2022-06-15
在PFC電路中,常用的結構是BOOST電路,功率MOSFET工作在開關狀態,將輸入的電流斬波為和輸入正弦波電壓同相位的、具有正弦波包絡線的開關電流波形,從而提高輸入的功率因數,減小輸入諧波分量。
有源功率因數校正PFC電路具有二種工作的模式:連續導通模式CCM和非連續導通模式DCM,控制的方式也各不相同。本文主要推導在連續導通模式CCM下,PFC電路功率MOSFET的電流有效值、平均值計算,以及輸出二極管的電流有效值、平均值計算。連續導通模式CCM下,PFC電路輸入電感的電流波形如圖1所示。
圖1:連續導通模式PFC的電感電流
可以看到,在每個開關周期結束的時候,輸入電感的電流沒有降到0,這樣,在下一個開關周期開始、功率MOSFET導通時,輸入電感的電流就會從一定值開始激磁,隨時間線性增加,這種導通模式稱為:連續導通模式、CCM模式。
在連續導通模式CCM工作的PFC電路中,功率MOSFET電流波形包絡線,近視為輸入正弦電流波形,如圖2所示,基于這個波形,來計算功率MOSFET電流的有效值。
圖2:功率MOSFET漏極電流的近視包絡線
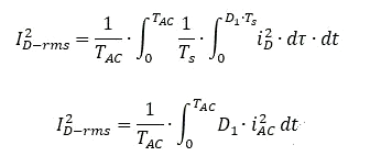
功率MOSFET電流的有效值為:
其中,D1為某一個開關周期的占空比,Ts為開關周期,fs為開關頻率。
輸入正弦電壓、輸入正弦電流值為:

功率MOSFET電流平均值、輸出二極管電流平均值的計算方法和上面類似,分別計算如下。
功率MOSFET的電流平均值為:
實際應用中,功率MOSFET電流的有效值用來計算其導通損耗。根據功率損耗的分配值,使用導通損耗,計算和選取功率MOSFET的導通電阻RDSON;使用開關損耗,計算和選取功率MOSFET的寄生電容,從而初步確定功率MOSFET的選型。
聯系方式:鄒先生
聯系電話:0755-83888366-8022
手機:18123972950
QQ:2880195519
聯系地址:深圳市福田區車公廟天安數碼城天吉大廈CD座5C1
請搜微信公眾號:“KIA半導體”或掃一掃下圖“關注”官方微信公眾號
請“關注”官方微信公眾號:提供 MOS管 技術幫助
免責聲明:本網站部分文章或圖片來源其它出處,如有侵權,請聯系刪除。
